• Предмет: Математика
  • Автор: tolebiovmaksat
  • Вопрос задан 8 лет назад

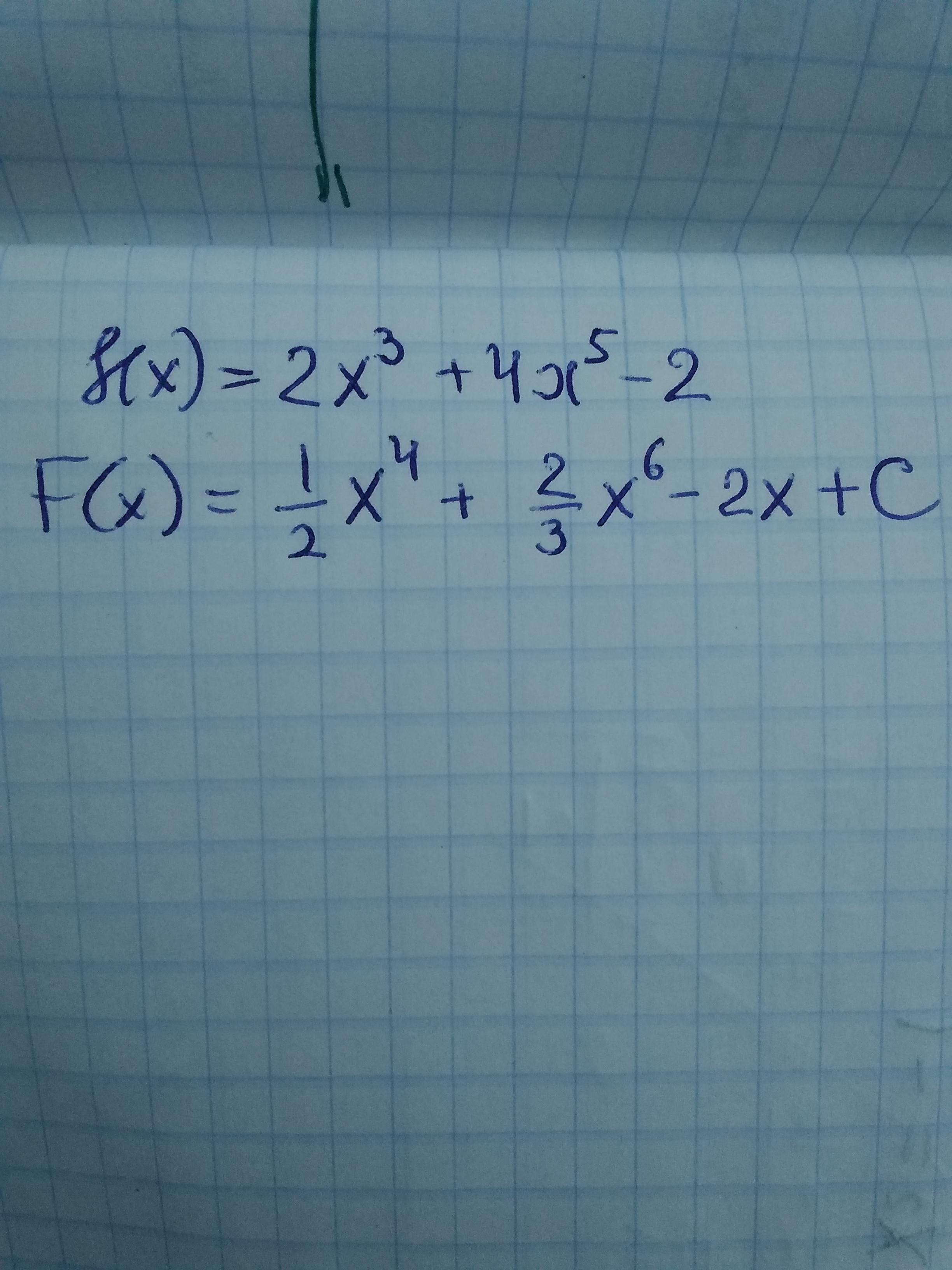
укажите первообразную функции f(x)=2x^3+4x^5-2​

Ответы

Ответ дал: 22822888
1

Ответ:

Пошаговое объяснение:

Приложения:
Ответ дал: afet74
1

Ответ:

Пошаговое объяснение:])na foto

Приложения:
Вас заинтересует