• Предмет: Алгебра
  • Автор: anyapolka
  • Вопрос задан 8 лет назад

Помогите решить, пожалуйста

Приложения:

Ответы

Ответ дал: vladykar9
0

Відповідь:

Пояснення:

Приложения:
Ответ дал: muhammaddinkodirov
1

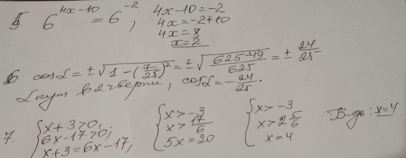
Ответ:

1) x = 2

2) cosα = -24/25

3) x = 4

Объяснение:

1) 6^(4x-10) = 1/36

6^(4x-10) = 6^(-2)              ⇒

⇒       4x - 10 = -2

4x = 8

x = 2

________________________________________________________

2) sinα = 7/25

sin²α + cos²α = 1          ⇒          cosα = ± √(1 - cos²α) = ± √(1 - (7/25)²) =

= ± √(1 - 49/625) = ± √(576/625) = ±24/25

НО так как π/2 < α < π , то -1 < cosα < 0 и cosα = -24/25

________________________________________________________

3) log₅(x+3) =  log₅(6x - 17)

x+3 = 6x - 17

5x = 20

x = 4

Вас заинтересует