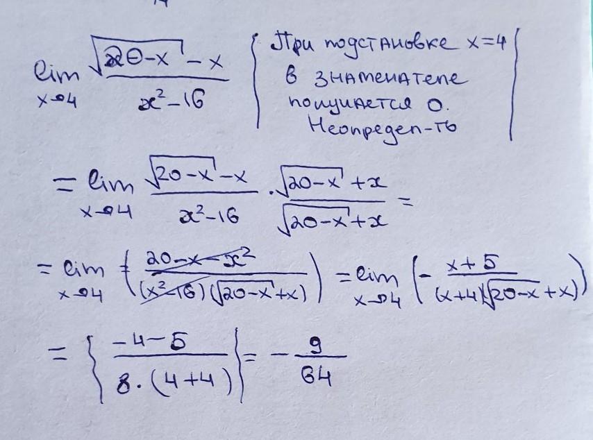
Вычислить предел функции:
Решить дифференциальные уравнения:

Приложения:

Ответы

Ответ дал: Miroslava227
1

Ответ:

решение на фотографиях

Приложения:

Femm: Можешь помочь с еще одним заданием
Femm: Буду очень признателен
Вас заинтересует