• Предмет: Математика
  • Автор: denisten200435
  • Вопрос задан 8 лет назад

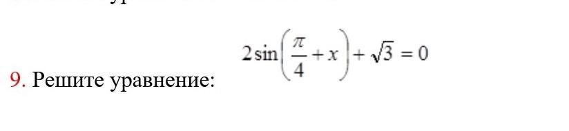
посогите пж пжРешите уравнение​

Приложения:

Ответы

Ответ дал: sdnss
2

2sin(\frac{\pi }{4}  +x)+\sqrt{3}=0\\sin(\frac{\pi }{4}  +x)=-\frac{\sqrt{3} }{2}\\\frac{\pi }{4}  +x=(-1)^narcsin(-\frac{\sqrt{3} }{2})+\pi n=(-1)^n^+^1\frac{\pi }{3}+\pi n\\x=   (-1)^n^+^1\frac{\pi }{3}-\frac{\pi }{4} +\pi n\\; n ∈ Z


denisten200435: я не понял что тут написаноxD
sdnss: что непонятно?
denisten200435: begin{gathered}2sin(\frac{\pi }{4} +x)+\sqrt{3}=0\\sin(\frac{\pi }{4} +x)=-\frac{\sqrt{3} }{2}\\\frac{\pi }{4} +x=(-1)^narcsin(-\frac{\sqrt{3} }{2})+\pi n=(-1)^n^+^1\frac{\pi }{3}+\pi n\\x= (-1)^n^+^1\frac{\pi }{3}-\frac{\pi }{4} +\pi n\\\end{gathered} ; n ∈ Z
sdnss: вы походу смотрите с мобильного приложения, насколько я знаю, это его баг. Попробуйте посмотреть через сайт.
denisten200435: окей спасибо
Вас заинтересует