• Предмет: Алгебра
  • Автор: isdyt
  • Вопрос задан 8 лет назад

Разложить на множители: (а+b)^3+(a-b)^3-3a

Ответы

Ответ дал: wieslawlozickip5w1nd
0

Ответ:

Объяснение:

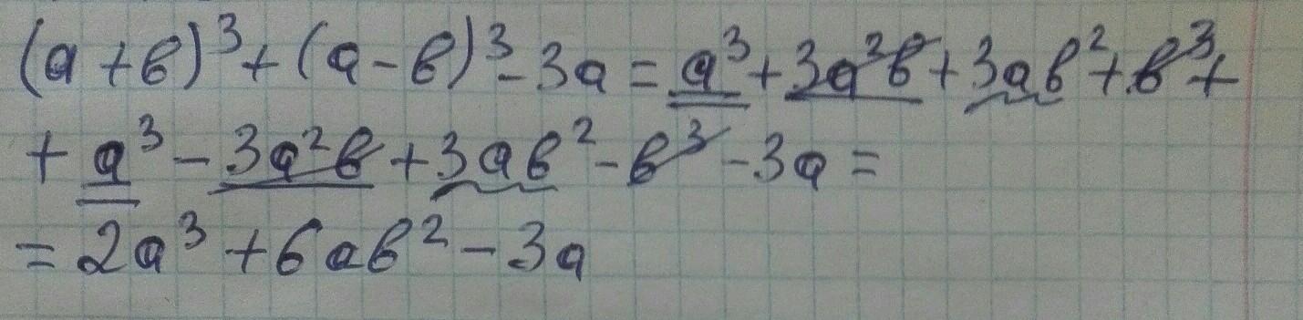
(а+b)³+(a-b)³-3a=

=a³+3a²b+3ab²+b³+a³-3a²b+3ab²-b³-3a=2a³+6ab²-3a


Аноним: Здравствуйте, wieslawlozickip5w1nd. Объясните почему поставили один балл, где ошибка? (13 задание) https://znanija.com/task/45097093
Ответ дал: Sserikbaev
0

Разложить на множители: (а+b)^3+(a-b)^3-3a

Приложения:

Аноним: Здравствуйте, Sserikbaev. Объясните почему поставили один балл, где ошибка? (13 задание) https://znanija.com/task/45097093
Вас заинтересует