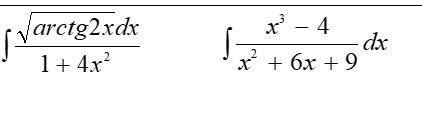
Найти указанные неопределенные интегралы и результаты интегрирования проверить дифференцированием:

Приложения:

Ответы
Ответ дал:
1
ОТВЕТ: 1) ; 2)
.
Пошаговое объяснение:
1) Сделаем замену:
. Получаем интеграл:
2) Максимально упростим дробь. Выделим целую часть:
Упростим полученную дробь. Запишем её в виде суммы двух дробей вида
Первая и последняя дроби с равными знаменателями равны - соответственно, равны их числители:
, откуда
Окончательно интеграл можем записать в виде суммы табличных интегралов:
Вас заинтересует
2 года назад
2 года назад
3 года назад
3 года назад
8 лет назад
8 лет назад
9 лет назад