• Предмет: Математика
  • Автор: Hardwell
  • Вопрос задан 11 лет назад

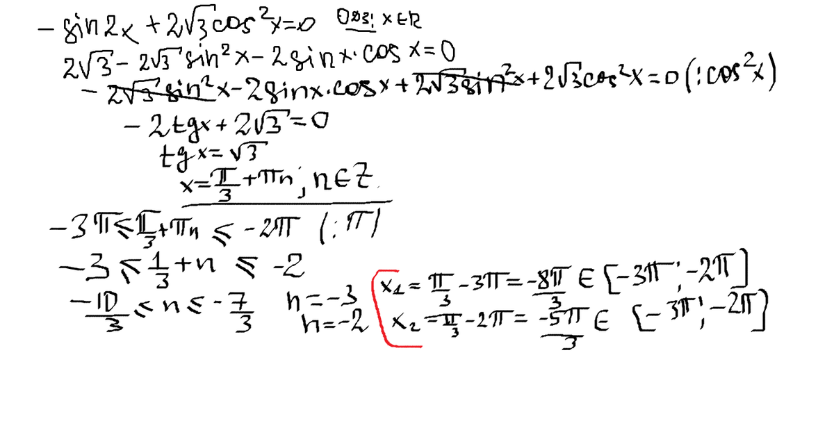
Решить уравнение, найти все корни принадлежащие отрезку [-3П; -2П]


cos(2x -  frac{3Pi}{2} )+2 sqrt{3} cos^{2} x=0

Ответы

Ответ дал: Аноним
0
решение во вложении.
Приложения:
Вас заинтересует