• Предмет: Алгебра
  • Автор: kuryaev04
  • Вопрос задан 8 лет назад

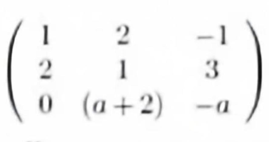
При каких значениях параметра "а" оператор имеет тривиальное ядро, если его матрица в некотором базисе имеет вид:

Приложения:

Ответы

Ответ дал: Guerrino
1

Подействуем оператором на некоторый вектор x из пространства. Новый вектор x' запишется как x'=Ax, где A — матрица оператора. Тривиальность ядра равносильна тому, что решение системы Ax=0 единственно (то есть только x=0). Это говорит о линейной независимости строк матрицы и, следовательно, о ненулевом детерминанте.

Имеем: \det\left(\begin{array}{ccc}1&2&-1\\2&1&3\\0&a+2&-a\end{array}\right) = -a-2(a+2)-(3(a+2)-4a) = -2a-10. Поэтому при a\neq -5 детерминант ненулевой, а ядро тривиально.

Вас заинтересует