Ответы
Ответ дал:
1
....................................................
Приложения:

Аноним:
Решение и Ответ допишите.
Ответ дал:
1
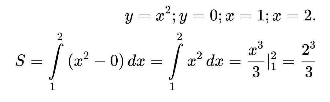
Решение задания прилагаю
Приложения:

Вас заинтересует
2 года назад
2 года назад
3 года назад
3 года назад
8 лет назад
8 лет назад
9 лет назад