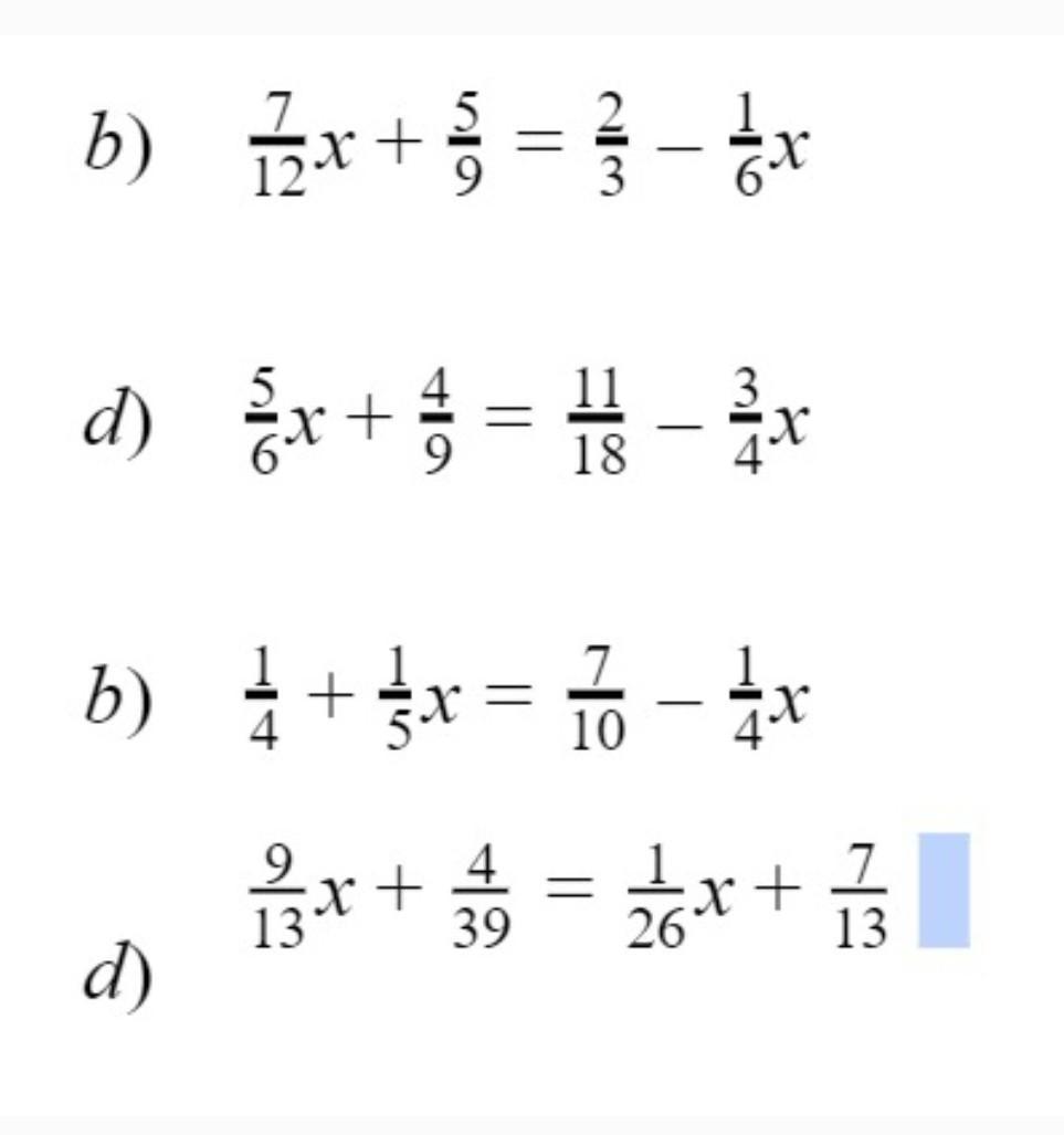
Всем привет,кто умеет решать такое решите пожалуйста, очень надо я не могу решить
Приложения:

Simba2017:
к общему знаменателю все для начала...
Ответы
Ответ дал:
1
Ответ:
Ответ дал:
0
Пошаговое объяснение:
Приложения:

Вас заинтересует
2 года назад
2 года назад
3 года назад
8 лет назад