• Предмет: Алгебра
  • Автор: holli229
  • Вопрос задан 8 лет назад

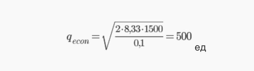
Может мне кто нибудь объяснить как в этом примере получили 509 если все перемножив получается другое число

Приложения:

holli229: *500

Ответы

Ответ дал: sergeybasso
1

Ответ:

Объяснение:

Если считать, что 8.33=8\frac{1}{3}, то получится в точности

\sqrt{\frac{2*8\frac{1}{3}*1500 }{\frac{1}{10} } } =\sqrt{2*\frac{25}{3}*15000} =\sqrt{25*2*\frac{1}{3} *(3*5*1000)} = \sqrt{25*10000}=\sqrt{5^2*100^2}  =5*100=500

Вас заинтересует