Ответы
Ответ дал:
2
Ответ:
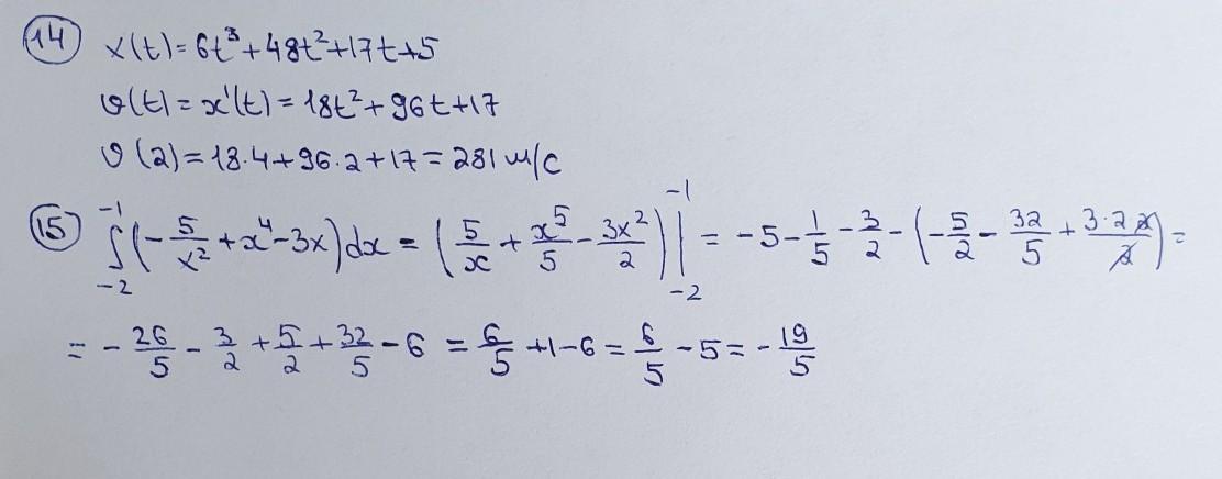
решение на фотографии.
Приложения:

vovazakadychny:
От души
Вас заинтересует
2 года назад
3 года назад
3 года назад
8 лет назад
8 лет назад