Ответы
Ответ дал:
0
Ответ:
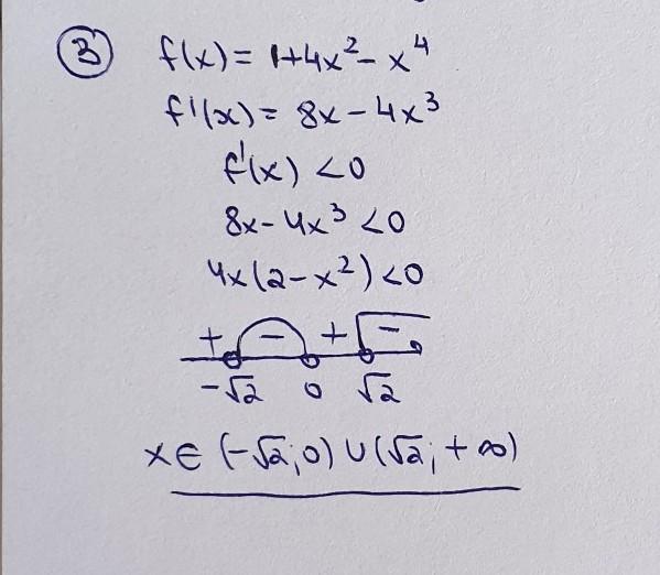
решение на фотографиях
Приложения:


Qwertsuny:
Miroslava227 ,я обратился к вам.Пожалуйста помогите !
Вас заинтересует
2 года назад
3 года назад
3 года назад
8 лет назад
8 лет назад
9 лет назад