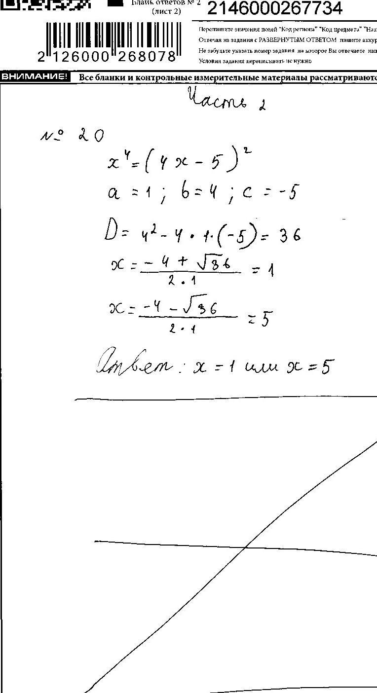
за каждое задание во второй части даётся 2 бала , в ответе если решать правильно должно получиться: 1 ;-5 ; мне за него поставили ноль баллов , можете объяснить что я сделал ещё не правильно ?
Приложения:

antonovm:
К сожалению неправильно всё , уравнение 4 степени вы решаете как квадратное , то есть фактически вы решали другое уравнение : x^2 +4x -5 = 0
Ответы
Ответ дал:
0
Ответ:
если переносите 5, то знак меняется на противоположный, или если х^2, то тоже знак нужно сменить
Вас заинтересует
2 года назад
3 года назад
3 года назад
8 лет назад
8 лет назад
9 лет назад