Ответы
Ответ дал:
0
Ответ:
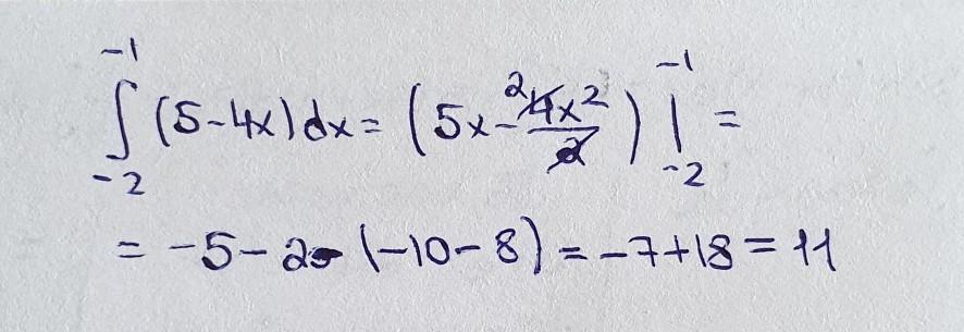
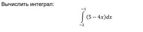
решение на фотографии.
Приложения:

alhovdmitrij9:
поможете пожалуйста???
Вас заинтересует
3 года назад
8 лет назад
9 лет назад