Ответы
Ответ дал:
1
Объяснение:
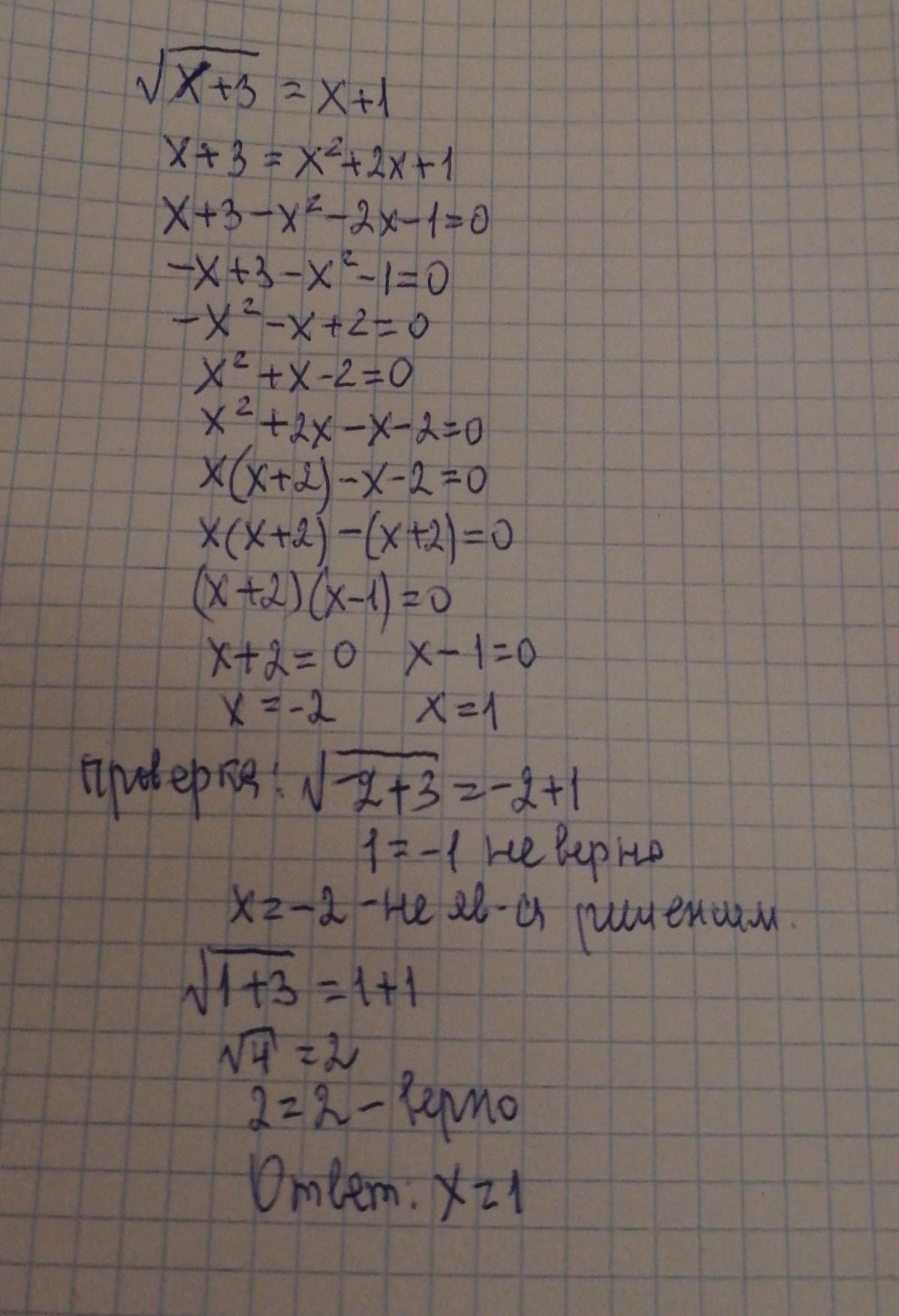
Решение на фото ______________
Приложения:

Ответ дал:
1
Ответ:
Объяснение:
Если перенести все в одну сторону, то получится квадратное уравнение. Затем нужно вычислить дискриминант и корень уравнения, который в данном случае не x, а корень из x. В квадратных уравнениях два корня, но так как корень из х не может быть -1, то нам подходит только положительный корень, т.е. 2. При подстановке (2 + 3 = 4 + 1) видим, что корень нашли правильно.
Вас заинтересует
3 года назад
3 года назад
8 лет назад
8 лет назад
9 лет назад
9 лет назад