• Предмет: Алгебра
  • Автор: serezhenkanazarov200
  • Вопрос задан 8 лет назад

Срочно !!!!!!!
Помогите пожалуйста тупая не понимаю как решить !!!!!!!!

Приложения:

Ответы

Ответ дал: settom
1

Ответ:

f'(-2)=-1.6

Объяснение:

Находим производную

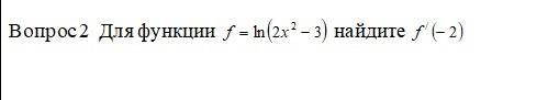
f'(x)=(\ln(2x^2-3))'=\frac{1}{2x^2-3} *4x=\frac{4x}{2x^2-3} \\f'(-2)=\frac{4*(-2)}{2(-2)^2-3}=\frac{-8}{2*4-3} =-\frac{8}{5} =-1.6


sergeybasso: если писать \ln вместо ln, то логарифм будет немножко другой, нежели тут - он будет выделен шрифтом.
settom: Учту, спасибо
sergeybasso: Здорово, что tex идет в массы! удобная штука
settom: LaTeX-у уже сто лет в обед. Еще когда курсачи в начале 2000х делал, уже немного юзал. Но вот инструментарий в редакторе тут конечно требует допила. Задолбался вытирать постоянно x или y которые возникают автоматически.
Вас заинтересует