• Предмет: Математика
  • Автор: jehcidifhfid
  • Вопрос задан 8 лет назад

СРОЧНО ПОЖАЛУЙСТА ПОМОГИТЕ!!!!ДАЮ 35 БАЛЛОВ!!

Приложения:

jekadva: 1) 141°12мин
jekadva: 2) 35°39мин
jekadva: 5) 43°34мин47сек
jekadva: 7) 18мин58сек
hdcucjedh: а как же остальные номера

Ответы

Ответ дал: Zombynella
0

Ответ:

В решении.

Пошаговое объяснение:

1° = 60` (минуты нужно правильно отметить, на клавиатуре не нашла);

1` = 60`` (секунды тоже).

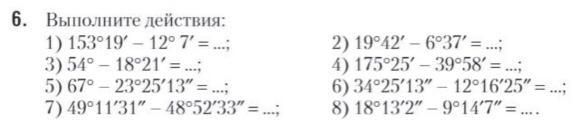
1) 153°19` - 12°07` = 141°12`;

2) 19°42` - 6°37` = 13°05`;

3) 54° - 18°21` = 35°39`;

4) 175°25` - 39°58` = 174°85` - 39°58` = 135°27`;

5) 67° - 23°25`13`` = 66°59`60`` - 23°25`13`` = 43°34`47``;

6) 34°25`13`` - 12°16`25`` = 34°24`73`` - 12°16`25`` = 22°08`48``;

7) 49°11`31`` - 48°52`33`` = 48°70`91`` - 48°52`33`` = 18`58``;

8) 18°13`02`` - 9°14`07`` = 17°72`62`` - 9°14`07`` = 8°58`55``.

Вас заинтересует