• Предмет: Алгебра
  • Автор: lallalka
  • Вопрос задан 10 лет назад

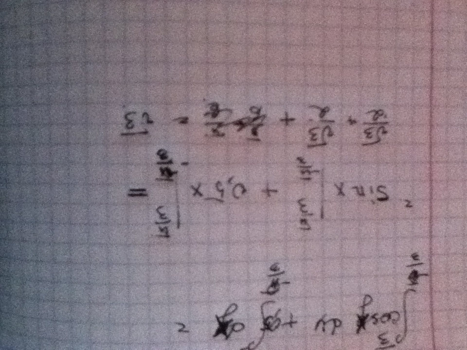
Вычислите площадь фигуры, ограниченной линиями y= cosx, y= 0,5, x= - П/3 и х= П/3.

Ответы

Ответ дал: zarj21
0
))))))))))Решение, непонятно пишите
Приложения:
Ответ дал: lallalka
0
такой же ответ получился у меня, но ответ должен быть √3-П/3 :)
Ответ дал: zarj21
0
Такого ответа не будет так как синус функция четная поэто так и будет
Вас заинтересует