2.74.Навколо рівностороннього трикутника описано коло радіуса 12см. Знайдіть площу трикутника.
будь ласка
10бл
Ответы
Ответ дал:
1
Ответ:
187.3
Пошаговое объяснение:
Радиус описанной окружности равностороннего треугольника:
площадь равностороннего треугольника
Аноним:
Корень не извлекаем.
Ответ дал:
0
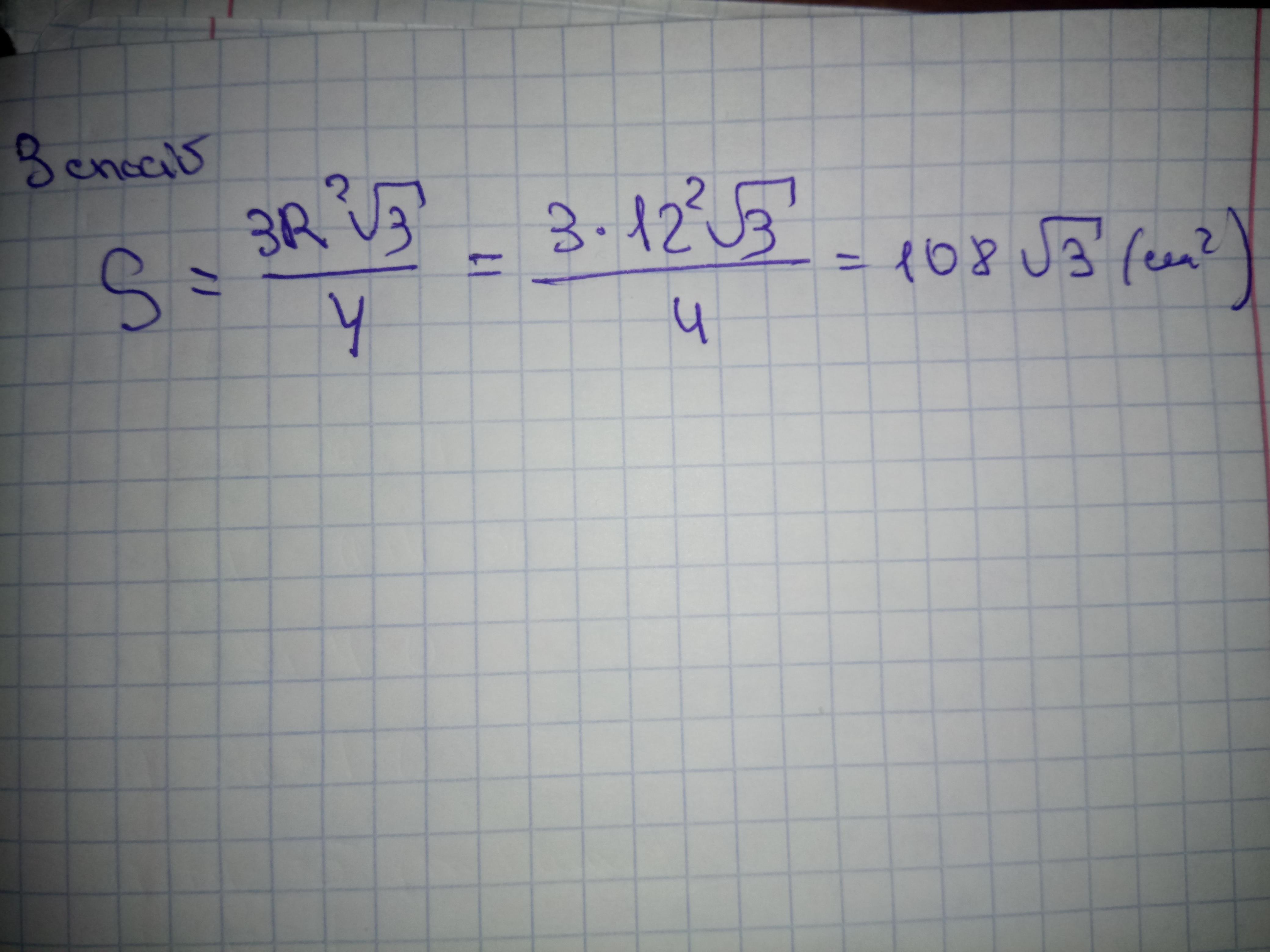
Відповідь: 3 способи
Покрокове пояснення:
Приложения:


Вас заинтересует
2 года назад
2 года назад
3 года назад
3 года назад
8 лет назад
8 лет назад