• Предмет: Алгебра
  • Автор: alecsandr19550831
  • Вопрос задан 8 лет назад

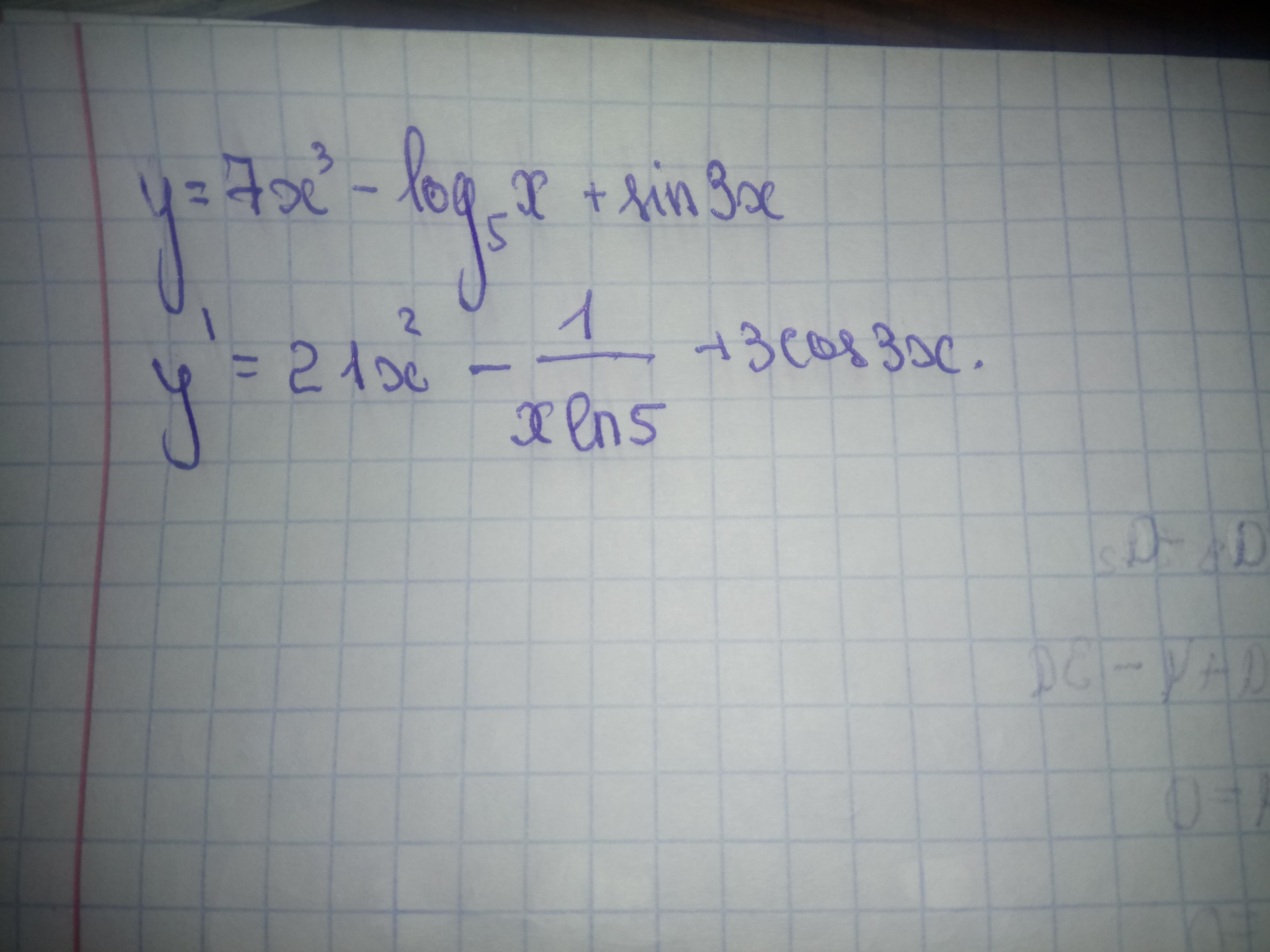
Найдите производную функции

Приложения:

Ответы

Ответ дал: Аноним
0

Решение задания прилагаю

Приложения:
Ответ дал: LymarIvan
2

Ответ:

21x² - 1/xln5 + 3cos3x

Объяснение:

y=7x^3- \log_5 x+ \sin3x\\\\(x^\alpha )'=\alpha x^{\alpha -1}\\( \log_\alpha x)'=\frac{1}{x \ln\alpha } \\( \sin x)'= \cos x\\\\y'=21x^2-\frac{1}{x \ln 5} +3 \cos3x

Вас заинтересует