• Предмет: Математика
  • Автор: vova137938
  • Вопрос задан 8 лет назад

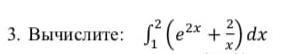
Помогите решить пожалуйста

Приложения:

Ответы

Ответ дал: bahytgulkabylainova
1

Пошаговое объяснение:

см фото,,,,,,, , ,,,,,,,

Приложения:
Вас заинтересует