Ответы
Ответ дал:
1
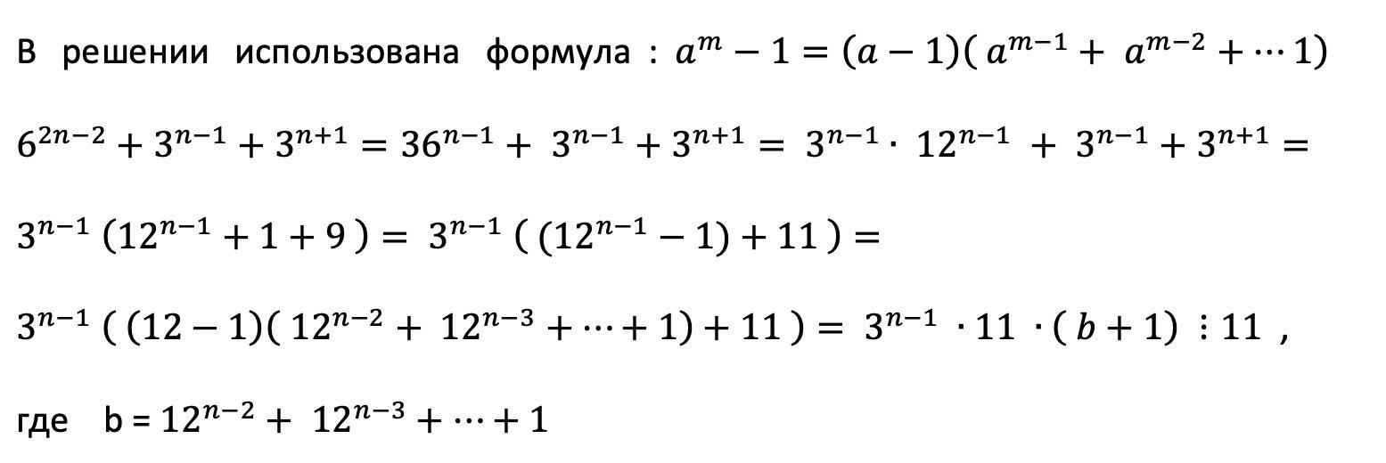
Такую задачу можно решать методом математической индукции, а можно и по-другому. Поскольку в условии ничего не сказано, как нужно решать, будем решать по-другому.
Множитель не влияет на делимость на 11, забудем про него.
- делится на 11.
Объяснение: если n=1⇒
получается перемножением кучи скобок, во всех произведениях будет хотя бы один множитель 11, и только одно произведение является произведением единиц. Другой способ объяснения основывается на биноме Ньютона, третий использует сравнения.
Ответ дал:
0
Решение : //////////////////////////////////
Приложения:

Вас заинтересует
2 года назад
2 года назад
3 года назад
3 года назад
8 лет назад
8 лет назад
9 лет назад