Пожалуйста, нужно ОЧЕНЬ срочно
С₄⁷=
А₁₁⁵=
=
SomethingMySecrets:
Блин последнее , не вижу в числителе...
Ответы
Ответ дал:
0
Ответ:
С₄⁷=0
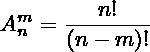
А₁₁⁵=55440
P8:P5=(1*2*3*4*5*6*7*8):(1*2*3*4*5)=6*7*8=336
Пошаговое объяснение:
По формулам из файла:
Приложения:


Вас заинтересует
2 года назад
2 года назад
3 года назад
3 года назад
8 лет назад
9 лет назад