• Предмет: Математика
  • Автор: niceguy0
  • Вопрос задан 8 лет назад

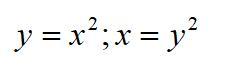
Вычислить площадь фигуры, ограниченной графиком функции 70 баллов

Приложения:

Ответы

Ответ дал: sergeybasso
1

Ответ:

1/3

Пошаговое объяснение

на фото

Приложения:

Аноним: ᴅᴇɴᴜᴠɪᴀʀ
Вас заинтересует