• Предмет: Математика
  • Автор: muhammaddinkodirov
  • Вопрос задан 8 лет назад

Дорогие МОЗГи! Задание, достойное Вас!!! Решить дифференциальные уравнения:
пограничное уравнение
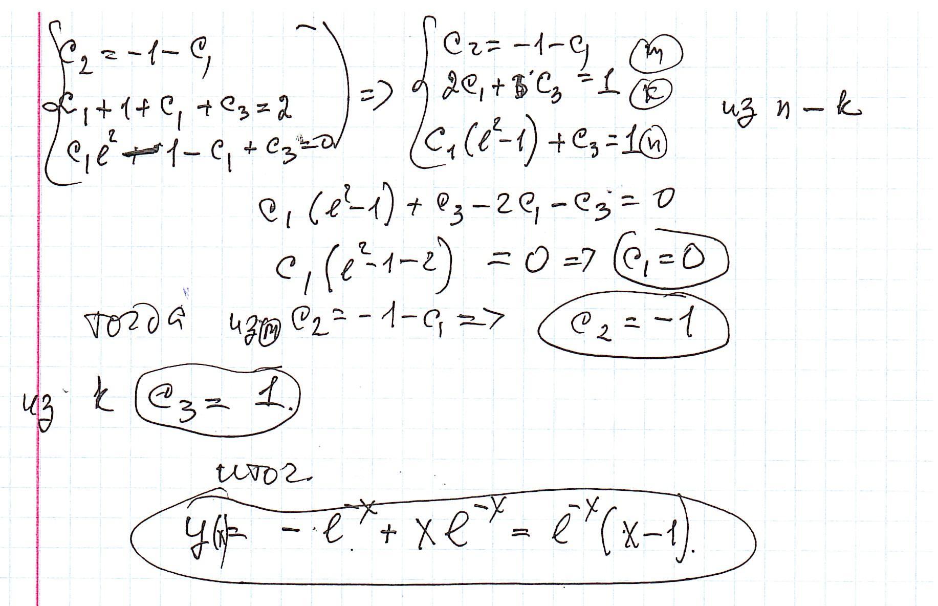
1) y''' + y'' - y' - y = 0, y(0) = -1; y'(0) = 2; y(1) = 0
2) y '' + y = 1, y(0) = 0; y'(π) = 0
Если можно, с подробным (пошаговым) решением.
Заранее спасибо за ответ))

Ответы

Ответ дал: ужнеужели
1

Ответ:

Пошаговое объяснение:

В мое время эти задачи назывались краевыми, а не пограничными.

В решении первого почти уверен, во втором есть сомнения.

Приложения:

igorShap: 2ое уравнение неоднородное, что Вы не учли, поэтому и краевые условия приводят к противоречию. Решение неоднородного уравнения будет складываться из общего решения однородного (которое Вы нашли) и любого частного решения исходного неоднородного уравнений
ужнеужели: Я просто забыл. Вот чувствовал, что что-то не так. . Спасибо. Там, похоже надо знаки поменять и 1 прибавить.
ужнеужели: исправил
muhammaddinkodirov: ОООуууу
muhammaddinkodirov: спасибо огромное
muhammaddinkodirov: а про "краевые" уравнения - я учту
ужнеужели: Удачи!
Вас заинтересует