Ответы
Ответ дал:
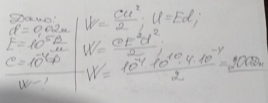
1
Відповідь:
Пояснення:
Приложения:

supernat83:
спасибо огромное
Вас заинтересует
2 года назад
2 года назад
3 года назад
8 лет назад
8 лет назад
9 лет назад