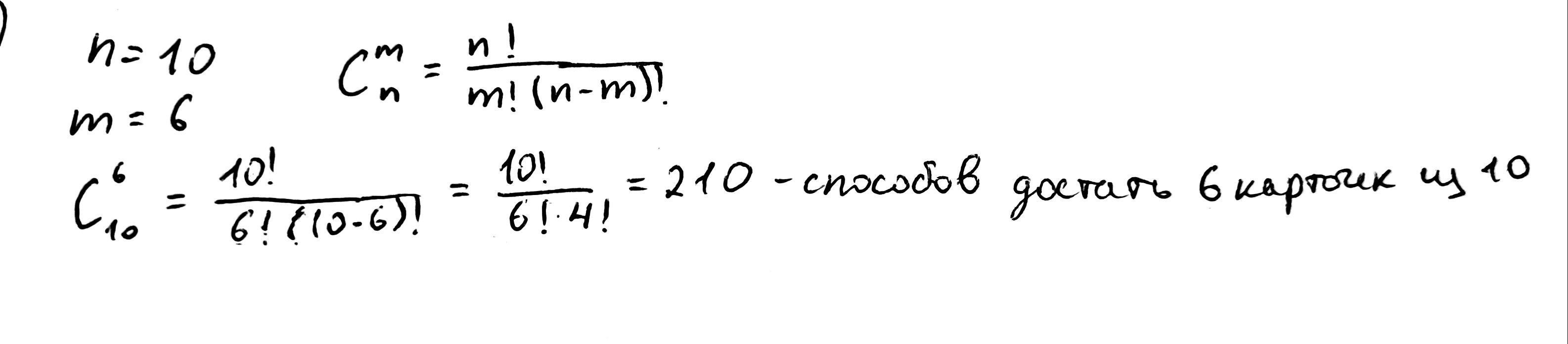
На столе лежат карточки с цифрами: 0, 1, 2, 3, 4, 5, 6, 7, 8, 9. Наугад берут 6 карточек. Найти вероятность того, что среди выбранных карточек будет карточка с цифрой "2".
Приложения:

Ответы
Ответ дал:
2
Ответ: 0,6.
Пошаговое объяснение:
Приложения:

Вас заинтересует
3 года назад
8 лет назад
8 лет назад
9 лет назад