• Предмет: Математика
  • Автор: muhammaddinkodirov
  • Вопрос задан 8 лет назад

Уважаемые МОЗГи! Задание, достойное Вас!!
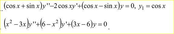
Найти общее решение линейного однородного уравнения с переменным коэффициентом.
Если можно, с подробным (пошаговым) решением.
Заранее спасибо))

Приложения:

Ответы

Ответ дал: igorShap
2

Ответ:

1) y=C_1cosx+C_2e^x

2) y=C_1x^3+C_2e^x

Пошаговое объяснение:

ЛОДУ 2ого порядка с переменными коэффициентами имеет вид a_0(x)y''+a_1(x)y'+a_2(x)=0

Общее решение такого ДУ - линейная комбинация двух его линейно независимых частных решений.

В обоих заданиях необходимо заметить, что сумма коэффициентов a_i(x) равна 0. Значит, очевидно, одним из частных решений данного ДУ будет функция y_2=e^x [и действительно: y_2''=y_2'=y_2, а тогда уравнение принимает вид e^x(a_1(x)+a_2(x)+a_3(x))=0\Rightarrow e^x*0=0 - верное равенство].

1) Рассмотрим Вронскиан системы y_1(x),y_2(x):

W(x)=\left|\begin{array}{cc}cos(x)&e^x\\-sin(x)&e^x\end{array}\right|=e^x(cosx+sinx)\not\equiv0

Значит, данные частные решения линейно независимы - а тогда общее решение имеет вид y=C_1cosx+C_2e^x.

2) Очевидно искать частное решение в виде многочлена. Пусть его старший член равен x^n,n\in N [коэффициент при старшей степени не имеет значения, т.к. уравнение однородное], т.е. y_1(x)=x^n+P_{n-1}(x).

Тогда

(x^2-3x)(n(n-1)x^{n-2}+P''_{n-1}(x))+(6-x^2)(nx^{n-1}+P'_{n-1}(x))+(3x-6)(x^n+P_{n-1}(x))=0\\ x^{n}(n(n-1))+x^2P''_{n-1}(x)-3n(n-1)x^{n-1}-3xP''_{n-1}(x)+6nx^{n-1}+6P'_{n-1}(x)-\\ -nx^{n+1}-x^2P'_{n-1}(x))+3x^{n+1}+3xP_{n-1}(x)-6x^n-6P_{n-1}(x)=0

То есть коэффициент при старшей степени x^{n+1} получаемого в левой части многочлена равен 3-n [степень P'_{n-1}(x) не выше n-2, а P''_{n-1}(x) не выше n-3]. Но в правой части тождественный ноль - а значит если некий многочлен и является частным решением уравнения, то это многочлен степени 3.

Нетрудной подстановкой y_1=x^3 убеждаемся, что это решение ДУ:

(x^2-3x)6x+(6-x^2)3x^2+(3x-6)x^3=0\Rightarrow 6x^3-18x^2+18x^2-3x^4+3x^4-6x^3=0 - верное равенство.

W(x)=\left|\begin{array}{cc}x^3&e^x\\3x^2&e^x\end{array}\right|=e^x(x^3-3x^2)\not\equiv0

А тогда общее решение имеет вид

y=C_1x^3+C_2e^x


muhammaddinkodirov: Огромное спасибо за столь раскрытые ответы
muhammaddinkodirov: спасибо за отведенное Вами время
Вас заинтересует