• Предмет: Математика
  • Автор: olegrusnerus
  • Вопрос задан 8 лет назад

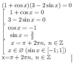
Решить уравнение: (1+сosx)(3-2sinx)=0
Желательно на листочке написать

Ответы

Ответ дал: LymarIvan
1

Ответ:

π+2πn, n — целое

Пошаговое объяснение:

все внимание на вложение

Приложения:
Вас заинтересует