• Предмет: Математика
  • Автор: Polote
  • Вопрос задан 8 лет назад

ПОМОГИТЕ ПОЖАЛУЙСТА СРОЧНО!!!!!15 БАЛЛОВ!!!!!
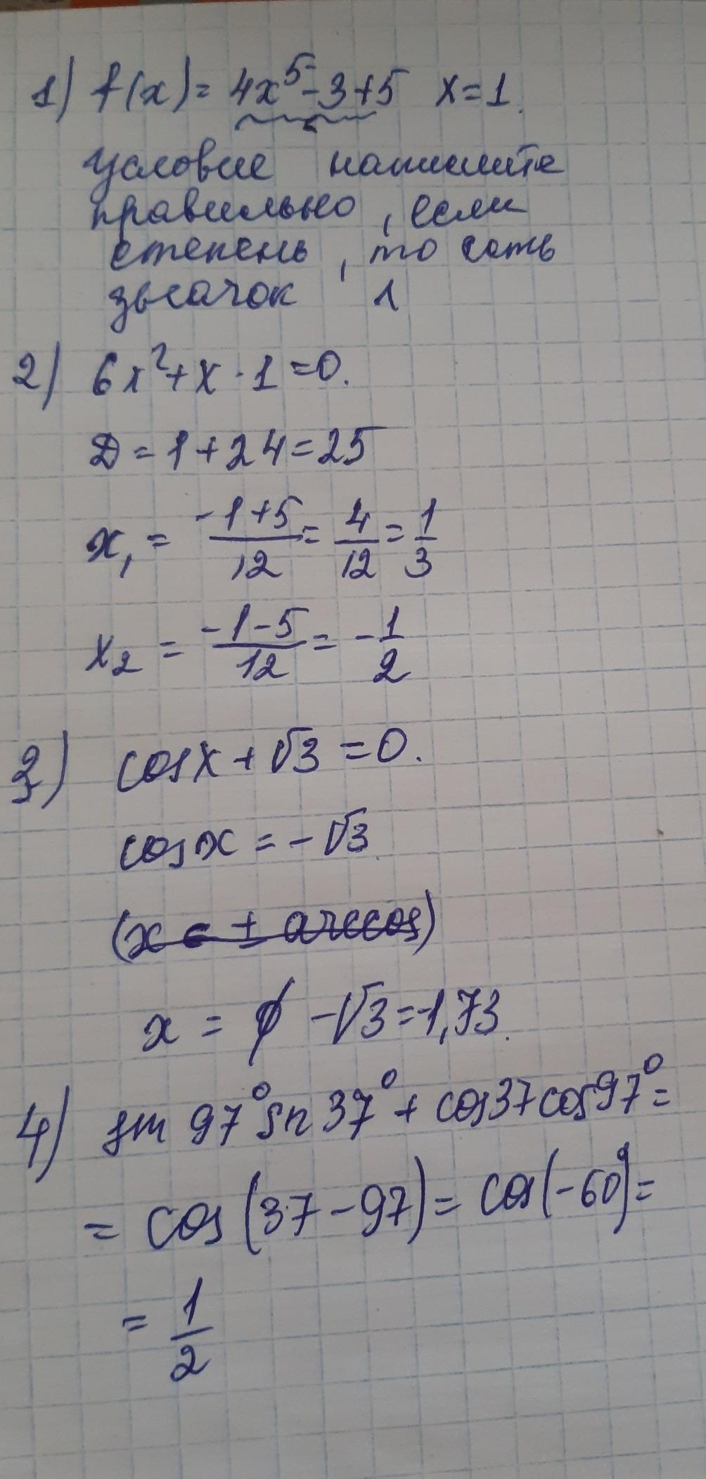
1балл) Вычислите значение производной функции в данной точке:

f(x) = 4x5 - 3 + 5, х = 1


(1 балл) Решите уравнение: 6х²+х-1=0


(2 балла) Решите уравнение: сosx+√3=0


(1 балл) Вычислите, не пользуясь тригонометрическими таблицами:

sin97⁰sin37⁰+cos37⁰cos97⁰

Ответы

Ответ дал: bahytgulkabylainova
0

Пошаговое объяснение:

см фото ,,,,,,,,,,,,,,,,,,

Приложения:
Вас заинтересует