• Предмет: Алгебра
  • Автор: kiriyva2015
  • Вопрос задан 8 лет назад

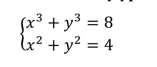
Помогите решить систему уравнения, пожалуйста.
Если можно распишите решение. ​

Приложения:

NNNLLL54: (0;2) , (2;0) , ...
Simba2017: графически наверное легче всего...
antonovm: а как построить график первого уравнения ( кривая 3 порядка ) , понятно , что с помощью программы это очень просто , а без неё ? По точкам ?
antonovm: Добавил " графическое решение " , конечно оно короче
antonovm: Красиво получилось ( графическое ) , но как доказать , что красная кривая касается окружности , а не пересекает её , " по картинке видно " - не аргумент , без матанализа не обойтись

Ответы

Ответ дал: antonovm
1

Ответ:

( 0 ; 2 )  ;  ( 2 ; 0 )

Объяснение:

Приложения:
Ответ дал: NNNLLL54
1

Ответ:

\left\{\begin{array}{l}x^3+y^3=8\\x^2+y^2=4\end{array}\right\ \ \left\{\begin{array}{l}(x+y)(x^2-xy+y^2)=8\\x^2+y^2=4\end{array}\right\ \ \left\{\begin{array}{l}(x+y)(4-xy)=8\\x^2+y^2=4\end{array}\right

\left\{\begin{array}{l}x+y=\dfrac{8}{4-xy}\\x^2+y^2+2xy-2xy=4\end{array}\right\ \ \left\{\begin{array}{l}x+y=\dfrac{8}{4-xy}\\(x+y)^2-2xy=4\end{array}\right\ \ \left\{\begin{array}{l}(x+y)^2=\dfrac{64}{(4-xy)^2}\\(x+y)^2=4+2xy\end{array}\right

\dfrac{64}{(4-xy)^2}=4+2xy\ \ ,\ \ \ 64=(4+2xy)(16-8xy+(xy)^2)\\\\\\64=64-32xy+4(xy)^2+32xy-16(xy)^2+2(xy)^3\\\\2(xy)^3-12(xy)^2=0\ \ ,\ \ \ 2(xy)^2\cdot (xy-6)=0\ \ \Rightarrow \ \ \ a)\ xy=0\ \ \ ili\ \ \ \ b)\ xy=6\\\\a)\ \ \left\{\begin{array}{l}xy=0\\x^2+y^2=4\end{array}\right\ \ \left\{\begin{array}{l}xy=0\\(x+y)^2-2xy=4\end{array}\right\ \ \left\{\begin{array}{l}xy=0\\(x+y)^2=4\end{array}\right

\left\{\begin{array}{l}xy=0\\x+y=\pm 2\end{array}\right\ \ \Rightarrow \ \ \left\{\begin{array}{l}y=2-x\\xy=0\end{array}\right\ \ ili\ \ \left\{\begin{array}{l}y=-2-x\\xy=0\end{array}\right

a_1)\ \ \left\{\begin{array}{l}y=2-x\\xy=0\end{array}\right\ \ \left\{\begin{array}{l}y=2-x\\x(2-x)=0\end{array}\right\ \ \left\{\begin{array}{l}y_1=2\ ,\ y_2=0\\x_1=0\ ,\ x_2=2\end{array}\right\\\\\\{}\ \ \ \ \ \ \ (\ 0\ ;\ 2 )\ ,\ (\ 2\ ;\ 0\ )

a_2)\ \ \left\{\begin{array}{l}y=-2-x\\xy=0\end{array}\right\ \ \left\{\begin{array}{l}y=-2-x\\x(-2-x)=0\end{array}\right\ \ \left\{\begin{array}{l}y_1=-2\ ,\ y_2=0\\x_1=0\ ,\ x_2=-2\end{array}\right\\\\\\{}\ \ \ \ \ \  \ (\, 0\, ;-2\, )\ ,\ (-2\, ;\, 0\, )\ \ ,\\\\\\Proverka:\ \left\{\begin{array}{l}0^3+(-2)^3=-8\ne 8\\0^2+(-2)^2=4\end{array}\right\ ,\ \left\{\begin{array}{l}(-2)^3+0^3=-8\ne 8\\(-2)^2+0^2=4\end{array}\right\ \ ,\ ne\ podxodit

b)\ \ \left\{\begin{array}{l}xy=6\\x^2+y^2=4\end{array}\right\ \ \left\{\begin{array}{l}xy=6\\(x+y)^2-2xy=4\end{array}\right\ \ \left\{\begin{array}{l}xy=6\\(x+y)^2=16\end{array}\right\ \ \left\{\begin{array}{l}xy=6\\x+y=\pm 4\end{array}\right

b_1)\ \ \left\{\begin{array}{l}y=4-x\\xy=6\end{array}\right\ \ \left\{\begin{array}{l}y=4-x\\x(4-x)=6\end{array}\right\ \ \left\{\begin{array}{l}xy=6\\x^2-4x+6=0\end{array}\right\\\\\\x^2-4x+6=0\ \ ,\ \ D/4=4-6=-2<0\ \ ,\ \ net\ dejstvitelnux\ kornej\\\\\Big[\ x_{1,2}=2\pm i\sqrt2\ \ ,\ \ y_{1,2}=2\mp i\sqrt2\ \Big]

b_2)\ \ \left\{\begin{array}{l}y=-4-x\\xy=6\end{array}\right\ \ \left\{\begin{array}{l}y=-4-x\\x(-4-x)=6\end{array}\right\ \ \left\{\begin{array}{l}y=-4-x\\x^2+4x+6=0\end{array}\right\\\\\\x^2+4x+6=0\ \ ,\ \ D/4=4-6=-2<0\ \ ,\ \ net\ dejstvitelnux\ kornej\\\\\Big[\ x_{1,2}=-2\pm i\sqrt2\ \ ,\ \ y_{1,2}=-2\mp i\sqrt2\ \Big]

Ответ:  

    действительные решения системы:  ( 0 ; 2 ) , ( 2 ; 0 )  .

P.S. Если нужны ещё и комплексные решения, то они написаны в квадратных скобках .


Simba2017: из первого y^2=4-x^2, из второго y^3=8-x^3
Simba2017: y^6=(4-x^2)^3=(8-x^3)^2
Simba2017: x^6-6x^4-8x^3+24x^2=0
Simba2017: x^2(x-2)^2(x^2+4x+6)=0
Simba2017: действительные корни x=0 ; x=2, есть два комплексных
Simba2017: соответственно у=2; y=0 и комплексные...
Вас заинтересует