• Предмет: Геометрия
  • Автор: SherSher123
  • Вопрос задан 8 лет назад

На рисунке изображен единичный квадрат. Найдите площадь заштрихованного треугольника. Если ответ не выражается конечной десятичной дробью, округлите до сотых.

Приложения:

Аноним: Решение нужно?
Аноним: Нужно.
Аноним: будет проблематично без обозначения точек
Аноним: Обозначайте. Я вижу решение, но оно слишком громозкое, возможно есть более компактное решение.

Ответы

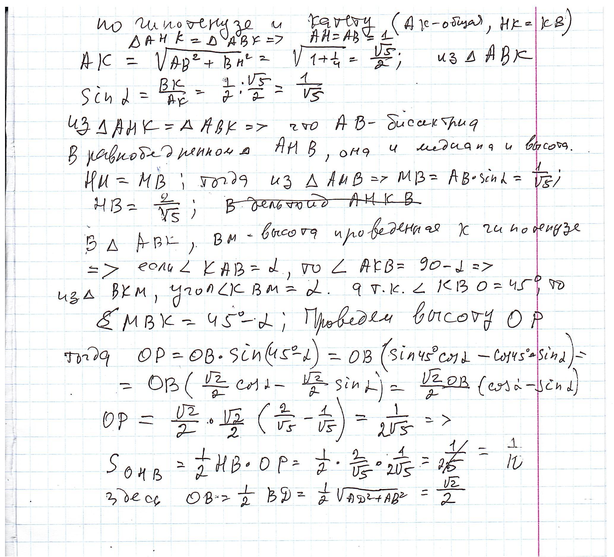
Ответ дал: ужнеужели
2

Ответ:

Объяснение:

во вложениях

Приложения:

Аноним: По большому счету согласна с Simba123, не честно решать олимпиады за счёт других.
Аноним: https://znanija.com/task/45099238
ужнеужели: Может это и так, но это не наша нечестность. Зато решение таких задач может заинтересовать кого-нибудь. Вон, Джек Лондон начал учить геометрию. :)
Аноним: Что ж и это хорошо...
antonovm: Согласен с Ириной , но с другой стороны , если на сайте не будет олимпиадных задач , то мне и не только мне будет скучновато
lvv9136: треугольник АНВ не равнобедренный. Ошибка в ответе
Аноним: Равнобедренный. Так как доказано что ∆АНК=∆АКВ
ужнеужели: Интересно как!
Аноним: Всмысле, как доказано? Или вам, просто интересно?
ужнеужели: Да нет, я это тому, кто не видит равнобедренности.
Ответ дал: siestarjoki
4

Впишем квадрат в решетку.

(Красные треугольники равны по двум катетам => синие гипотенузы равны, углы A, B, C, D прямые.)

Треугольники KCM и DCM равны по катету и гипотенузе.

По условию в треугольнике AKD медиана равна половине стороны - угол AKD прямой.

=> Точка K находится в узле решетки.

Теперь видно, что треугольники KBD и KAD имеют равные высоты и основания - и равные площади.

Медианы KO и KM делят их пополам.

Треугольники AMK и ABK также имеют равные высоты и основания - и равные площади.

Таким образом площадь KOD равна 1/5 площади ABD и 1/10 площади квадрата.

Приложения:

Аноним: https://prntscr.com/16rhxg9
Аноним: Вы, не можете им нарисовать?
Аноним: https://prntscr.com/16rktm7
Аноним: А почему первый чертеж удалился? Кто знает?
ужнеужели: Спасибо, теперь увидел. :)
ужнеужели: С этим лайтшотом что-то происходит в последнее вряемя
Аноним: Ладно, я лайтшотом не очень умею пользоваться, может я сама его удалила.
Аноним: Во-во...
Аноним: Он меня раздражает.
ужнеужели: Раньше замечательно работал.
Вас заинтересует