• Предмет: Математика
  • Автор: skitz
  • Вопрос задан 8 лет назад

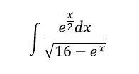
Вычислить неопределенный интеграл
Помогите с решением

Приложения:

Ответы

Ответ дал: LymarIvan
0

Ответ:

2arcsin (exp(x/2) / 4) + C

Пошаговое объяснение:

\int {\frac{e^\frac{x}{2}dx }{\sqrt{16-e^x} } } \,  =\int {\frac{e^\frac{x}{2}dx }{\sqrt{4^2-(e^\frac{x}{2})^2 } } } \, =\begin{Vmatrix}  d(e^\frac{x}{2} )=\frac{1}{2}e^\frac{x}{2}dx  \end{Vmatrix}=\\2\int {\frac{e^\frac{x}{2}dx }{2\sqrt{4^2-(e^\frac{x}{2})^2 } } } \, =2\int {\frac{d(e^\frac{x}{2}) }{\sqrt{4^2-(e^\frac{x}{2})^2 } } } \, =2\arcsin\frac{e^\frac{x}{2} }{4} +C

Вас заинтересует