• Предмет: Математика
  • Автор: helppp22
  • Вопрос задан 8 лет назад

1. найдите длины сторон треугольника ADC,если A(3,-1,3) B(3,-2,2) C(2,2,3) D(2,2,2)
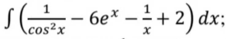
2. найти интеграл

даю 25 баллов, помогите

Приложения:

Ответы

Ответ дал: LymarIvan
0

Ответ:

1) 1, √10 и √11

2) tg x - 6e^x - ln|x| + 2x + C

Пошаговое объяснение:

1. Длину отрезка с концами в точках (x_1; y_1; z_1) и (x_2; y_2; z_2) можно найти по формуле

\sqrt{(x_2-x_1)^2+(y_2-y_1)^2+(z_2-z_1)^2}

Найдем длины сторон AD, AC и DC:

|AD|=\sqrt{(2-3)^2+(2+1)^2+(2-3)^2}=\sqrt{(-1)^2+3^2+(-1)^2}  =\sqrt{1+9+1} =\sqrt{11}\\|AC|=\sqrt{(2-3)^2+(2+1)^2+(3-3)^2}  =\sqrt{(-1)^2+3^2+0^2} =\sqrt{1+9+0}=\sqrt{10}\\|DC|=\sqrt{(2-2)^2+(2-2)^2+(3-2)^2}=\sqrt{0^2+0^2+1^2}=\sqrt{0+0+1}=1

2.

\int {(\frac{1}{\cos^2x}-6e^x-\frac{1}{x}+2)  } \, dx =\int {\frac{dx}{\cos^2x} } \,  -6\int {e^x} \, dx -\int {\frac{dx}{x} } \,+2\int {} \, dx  =\rm tg \; x-6e^x-\ln |x|+2x+C

Вас заинтересует