• Предмет: Математика
  • Автор: polina2k07
  • Вопрос задан 8 лет назад

ребят, выручайте,проверьте пожалуйста...учусь решать линейные уравнения.​

Приложения:

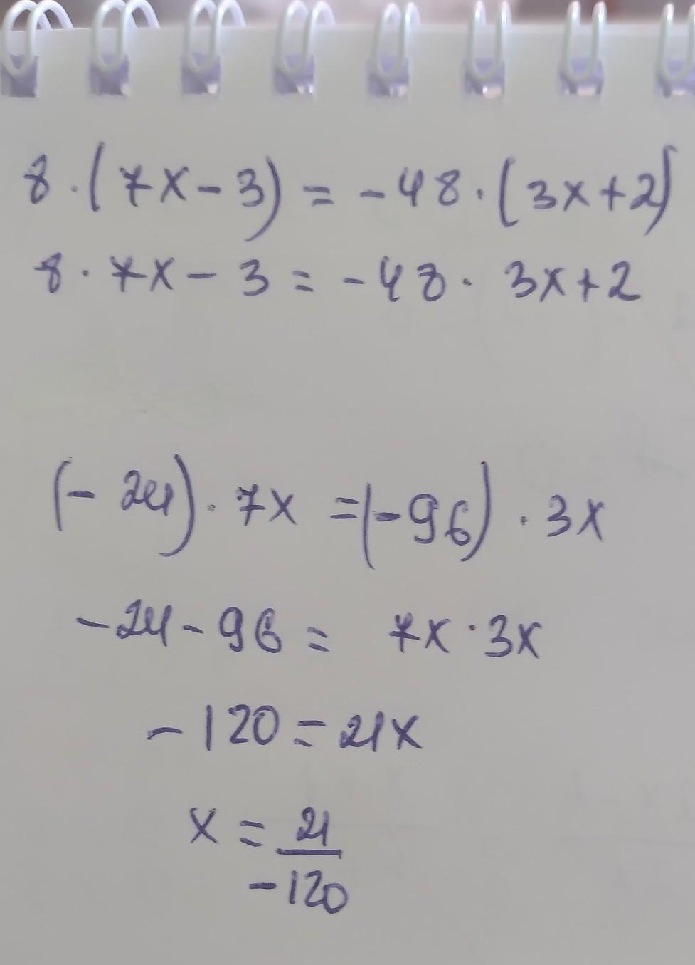
tatsach: Неправильно
tatsach: При раскрытии скобок нужно умножать 8 на 7х и 8 на (-3)
tatsach: Также и во второй скобке
afet74: не надо раскрывать скобки, сначала надо разделить обе стороны на 8
afet74: если есть легкий способ надо использовать,
tatsach: Ответ не меняется
afet74: при раскрытии скобки будьте внимательны, используй распределительные свойства умножении

Ответы

Ответ дал: tatsach
0

Ответ:

Пошаговое объяснение:

Приложения:
Ответ дал: LymarIvan
0

Ответ:

у тебя неправильна уже попытка раскрыть скобки

Пошаговое объяснение:

8×(7x-3) = -48×(3x+2) | ÷8

7x-3 = -6×(3x+2)

7x-3 = -18x-12

7x+18x = -12+3

25x = -9

x = -9/25

Вас заинтересует