Ответы
Ответ дал:
1
Ответ:
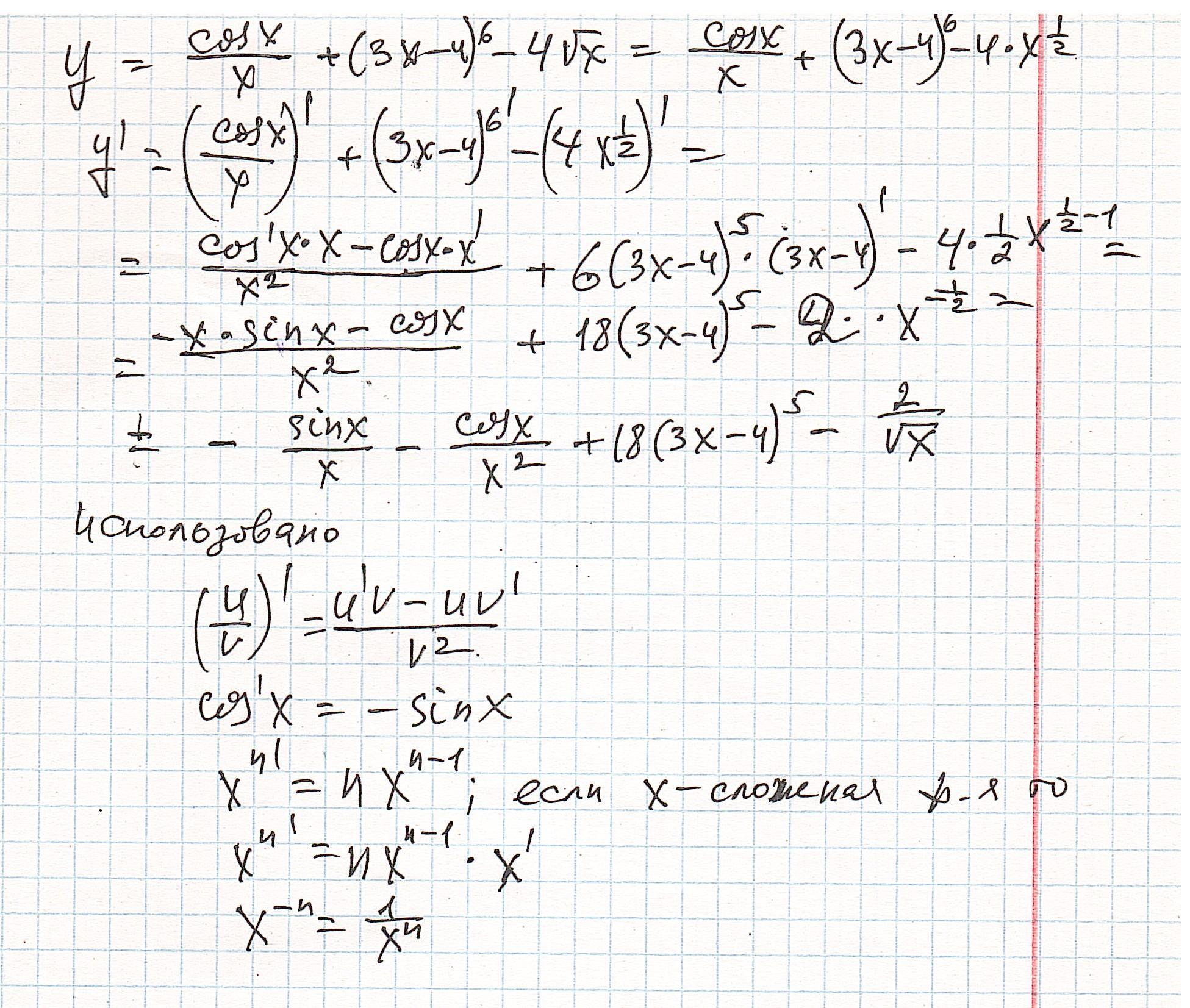
y'=1/x²*(-x*sinx+cosx)+18(3x-4)⁵-2/sqrt(x)
Ответ дал:
1
Ответ:
Объяснение:
во вложении
Приложения:

Bflly:
Там у вас ошибочка,производная от (3x-4)⁶=6*(3x-4)'*(3x-4)⁵=6*3*(3x-4)⁵=18*(3x-4)⁵
Вас заинтересует
2 года назад
3 года назад
8 лет назад
9 лет назад