Ответы
Ответ дал:
1
Ответ: х = 118
Пошаговое объяснение:
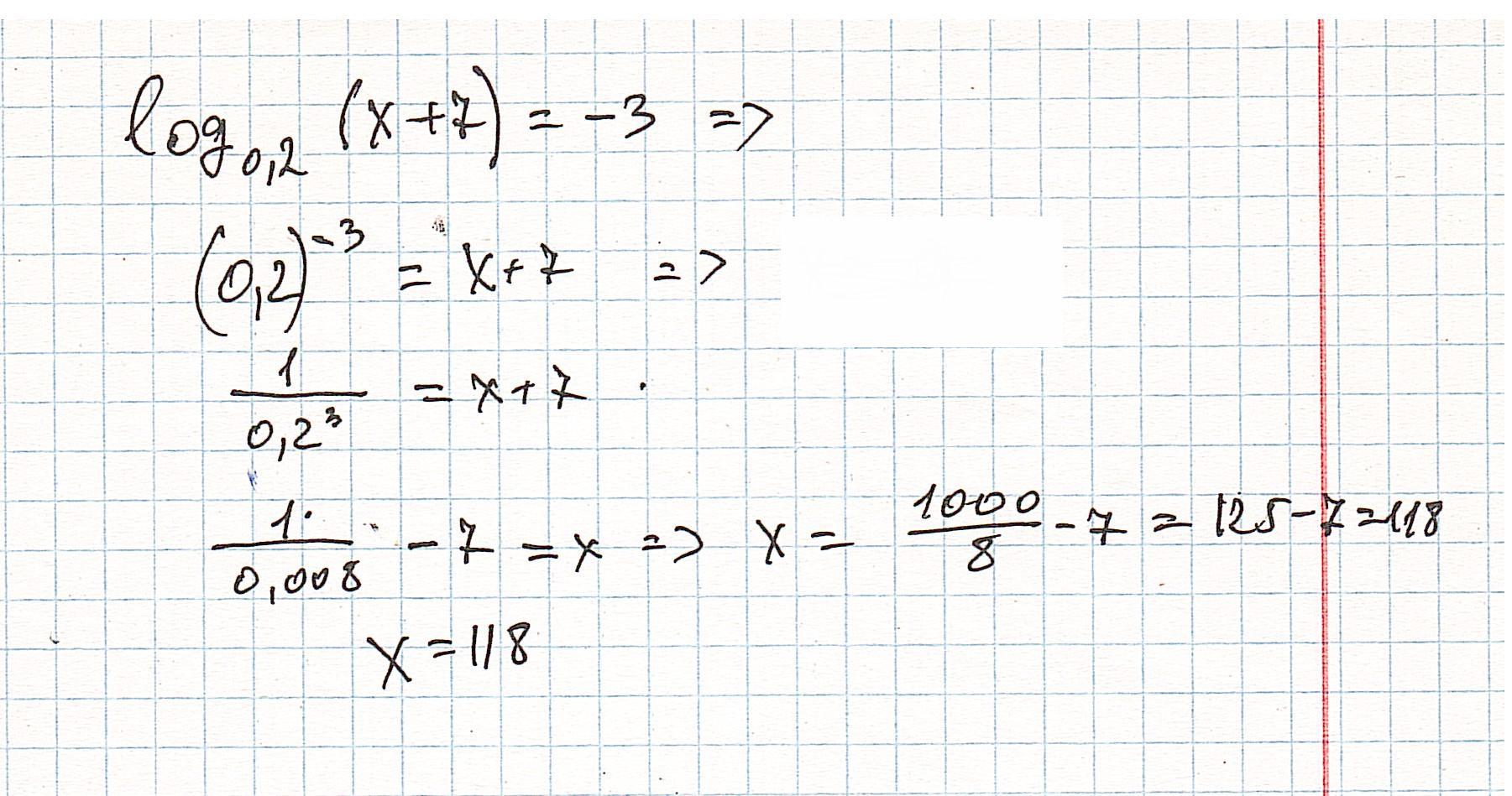
во вложении
Приложения:

Ответ дал:
1
Ответ:
118
Пошаговое объяснение:
log₀₂(x+7)=-3
(2/10)⁻³=x+7
5³=x+7
x=125-7=118
Вас заинтересует
2 года назад
3 года назад
3 года назад
8 лет назад
8 лет назад