Ответы
Ответ дал:
1
Ответ:
-5
Пошаговое объяснение:
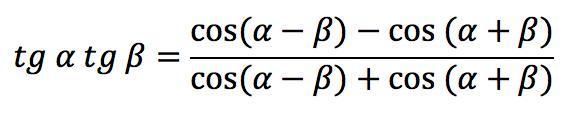
Воспользуемся формулой произведения тангенсов (во вложении).
Получаем: 5*tg17°*tg107°=5*
Косинус - чётная функция, поэтому cos(17°-107°)=cos(-90°)=cos(90°)=0
Остаётся 5*=5*(-1)= -5.
Приложения:

Вас заинтересует
2 года назад
2 года назад
3 года назад
3 года назад
8 лет назад
9 лет назад