• Предмет: Математика
  • Автор: ksolongin
  • Вопрос задан 8 лет назад

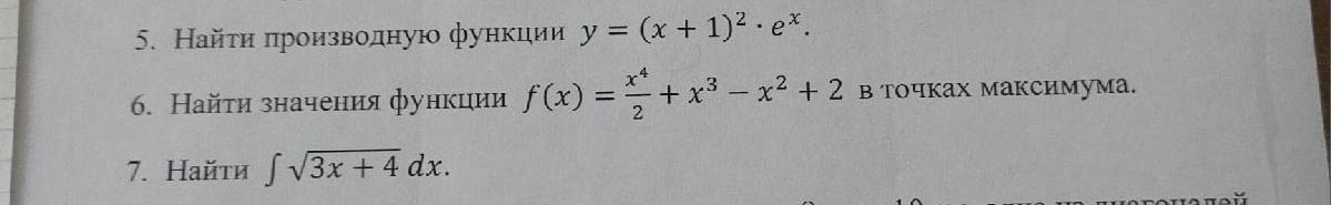
Решите карточку по математике пожалуйста

Приложения:

Ответы

Ответ дал: bahytgulkabylainova
1

Пошаговое объяснение:

см фото,,,,,,,,,,,,,,,,,,,,,,,,,,,,,,,,

Приложения:

ksolongin: Ты мой спаситель! Благодарю
Вас заинтересует