Ответы
Ответ дал:
1
Ответ:
Пошаговое объяснение:
Приложения:

Ответ дал:
2
Ответ:
4
Пошаговое объяснение:
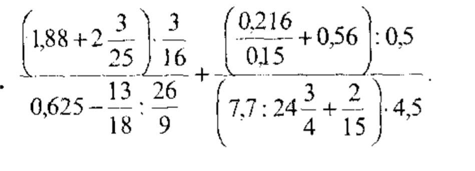
((1,88+2 3/25)*3/16))/((0,625-13/18/:26/9)) +
((0,216/0,15):0,5))/((7,7:24 3/4+2/15))*4,5 = 4
По действиям:
1. 1,88 + 2 3/25 = 1 88/100 + 2 3/25 = 1 22/25 + 2 3/215 = 3 25/25 = 4
2. 4 * 3/16 = 3/4
3. 13/18 : 26/9 = 13/18 * 9/26 = 1/4
4. 0,625 - 1/4 = 5/8 - 1/4 = 5/8 - 2/8 = 3/8
5. 3/4 : 3/8 = 3/4 * 8/3 = 2
6. 0,216 : 0,15 = 1,44
7. 1,44 + 0,56 = 2
8. 2 : 0,5 = 4
9. 7,7 : 24 3/4 = 77/10 : 99/4 = 77/10 * 4/99 = 14/45
10. 14/45 + 2/15 = 14/45 + 6/45 = 20/45 = 4/9
11. 4/9 * 4,5 = 4/9 * 45/10 = 2
12. 2 + 2 = 4
Вас заинтересует
2 года назад
2 года назад
3 года назад
3 года назад
8 лет назад
8 лет назад
9 лет назад
9 лет назад