• Предмет: Геометрия
  • Автор: polikov95
  • Вопрос задан 8 лет назад

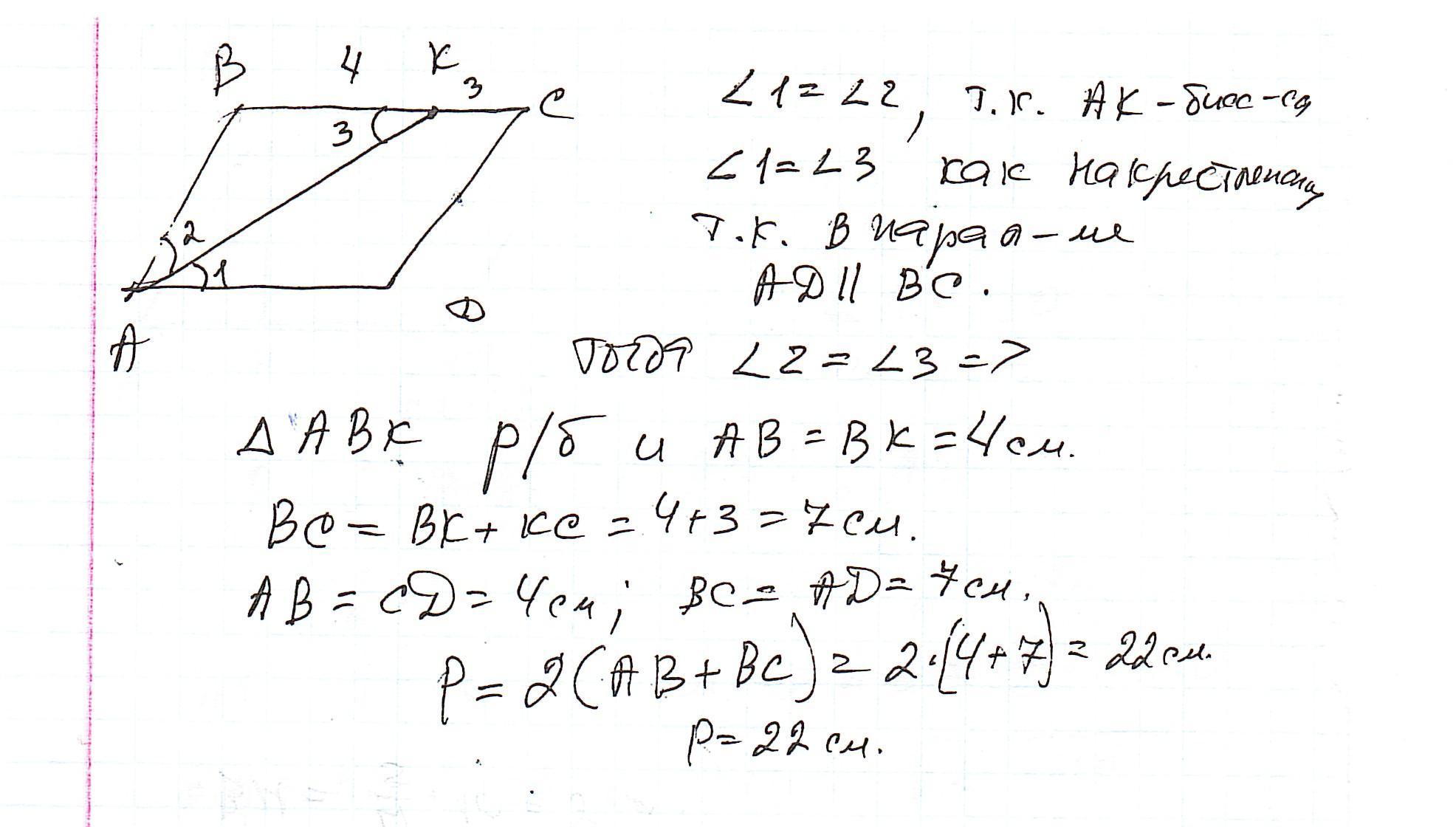
12. У паралелограмі АВСD бісектриса кута А поділяе сторону ВС на відрізки ВК %34 смі КС-3 см. Знайдіть периметр паралелограма.


Аноним: ВК=?
polikov95: ВК=4см
КС=3см

Ответы

Ответ дал: ужнеужели
1

Ответ: Р = 22 см

Объяснение:

Это же стандартная задачка для 8 класса.

Приложения:
Вас заинтересует