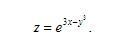
Найдите частные производные первого и второго порядка заданной функции: СРОЧНО!!!!!
Приложения:

sergeybasso:
показатель степени у y не читается
Ответы
Ответ дал:
4
Ответ:
Вас заинтересует
2 года назад
2 года назад
3 года назад
3 года назад
9 лет назад
9 лет назад