• Предмет: Физика
  • Автор: Poi385
  • Вопрос задан 8 лет назад

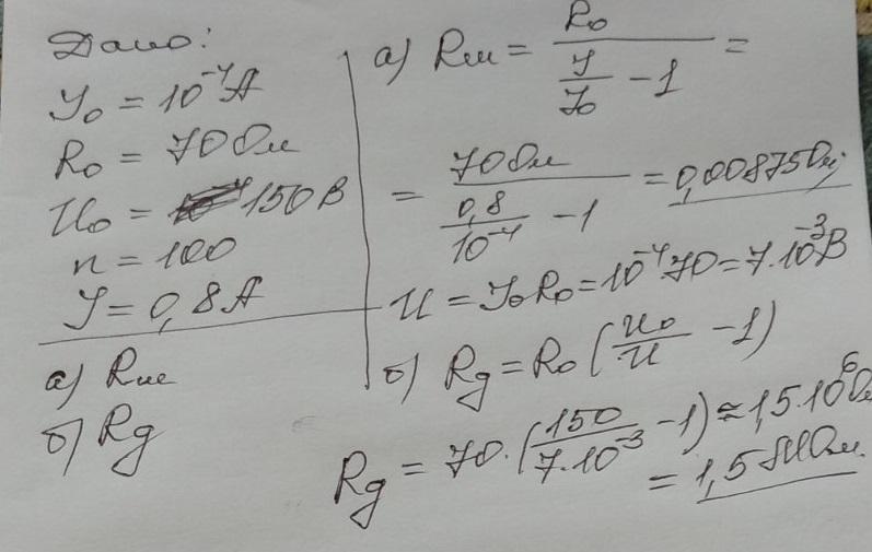
У вас есть прибор с ценой деления io = 100 MKA и много сопротивлений различных
номиналов. Шкала прибора имеет п = 100 делений. Собственное сопротивление прибора
R = 70 Ом.
Какое добавочное сопротивление необходимо подключить к этому прибору, чтобы сделать
вольтметр с пределом измерения Uо = 150 В? Ответ выразите в кОм, округлите до целого
числа. Прибор шунтируют так, чтобы получился миллиамперметр с пределом измерения силы тока 800мА, Чему равно сопротивление грунту? Ответ выразите в мОм, округлите до целого числа

Ответы

Ответ дал: vladykar9
3

Відповідь:

Пояснення:

Приложения:

Poi385: Пишет что неверно
raylalim2014: Правильный ответ 15 в первом поле
yaroslavpolivanov06: в втором окне, какой ответ правильный?
raylalim2014: Вот этого не знаю
raylalim2014: Во втором поле 886
Вас заинтересует