• Предмет: Математика
  • Автор: Аноним
  • Вопрос задан 8 лет назад

СРОЧНО ПОМОГИТЕ ПЖЖЖЖ!!!!

Приложения:

Ответы

Ответ дал: bena20193
0

Ответ:

Пошаговое объяснение:

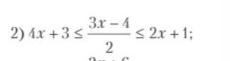
умножим на 2

8x+6≤3x-4≤4x+2

8x+6≤3x-4

3x-4≤4x+2

5x≤-10

-6≤x

-6≤x≤-2

Ответ дал: milakamilat1m
1

Ответ:

[-6;-2]

Пошаговое объяснение:

\frac{3x-4}{2} \geq  4x+3\\\frac{3x-4}{2} \leq  2x+1\\x\leq -2\\x\geq -6\\

[-6;-2]

Вас заинтересует