• Предмет: Математика
  • Автор: Аноним
  • Вопрос задан 8 лет назад

ПОЖАЛУЙСТА ХЕЛП МИ!!!!

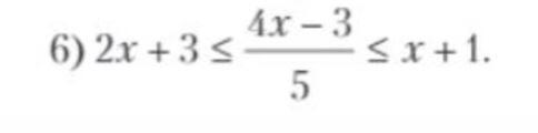
Приложения:

Ответы

Ответ дал: sergeevaolga5
1

Ответ:

[-8;-3]

Пошаговое объяснение:

2x+3\leq \frac{4x-3}{5}\leq x+1|*5\\\\10x+15\leq 4x-3\leq 5x+5\\\\\left \{ {{10x+15\leq 4x-3} \atop {4x-3\leq 5x+5}} \right. \\\\\left \{ {{6x\leq -18} \atop {x\geq -8}} \right.\\\\\left \{ {{x\leq -3} \atop {x\geq -8}} \right.\\\\x\in[-8;-3]


sergeevaolga5: Не получилось исправить 3 на -3 по техническим причинам. Верный ответ [-8;-3].
Ответ дал: NNNLLL54
0

Ответ:

2x+3\leq \dfrac{4x-3}{5}\leq x+1\ \ \Big|\cdot 5\\\\\\10x+15\leq 4x-3\leq 5x+5\ \ \Big|+3\\\\10x+18\leq 4x\leq 5x+8\\\\\\\left\{\begin{array}{l}4x\leq 5x+8\\4x\geq 10x+18\end{array}\right\ \ \left\{\begin{array}{l}-8\leq 5x-4x\\-18\geq 10x-4x\end{array}\right\ \ \left\{\begin{array}{l}x\geq -8\\6x\leq -18\end{array}\right\ \ \left\{\begin{array}{l}x\geq -8\\x\leq -3\end{array}\right\ \ \Rightarrow \\\\\\-8\leq x\leq -3\ \ \ \Rightarrow \ \ \ \ x\in [-8\ ;-3\ ]

Вас заинтересует