ПОМОГИТЕ СРОЧНО ПОЖАЛУЙСТА!!!!
Приложения:

Аноним:
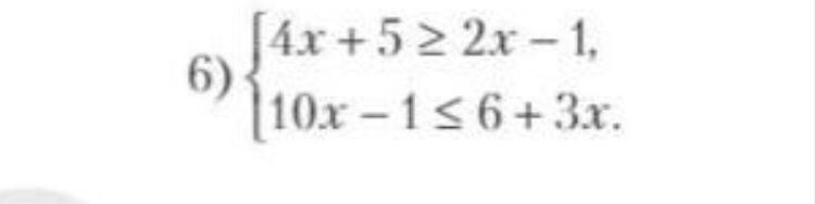
я забыла сказать задание аххаха,нужно найти сумму целых решений системы неравенств
Ответы
Ответ дал:
0
Ответ:
-5
Пошаговое объяснение:
Решение в целых числах x = -3, -2, -1, 0, 1
Сумма решеий равна -3 -2 -1 + 0 + 1 = -5
Ответ дал:
0
-------------------------------
Если нужно найти сумму целых решений, то:
- 3 + ( - 2 ) + ( - 1 ) + 0 + 1 = - 3 - 2 - 1 + 0 + 1 = - 5.
Вас заинтересует
2 года назад
2 года назад
3 года назад
3 года назад