• Предмет: Математика
  • Автор: anitagorshkova1
  • Вопрос задан 8 лет назад

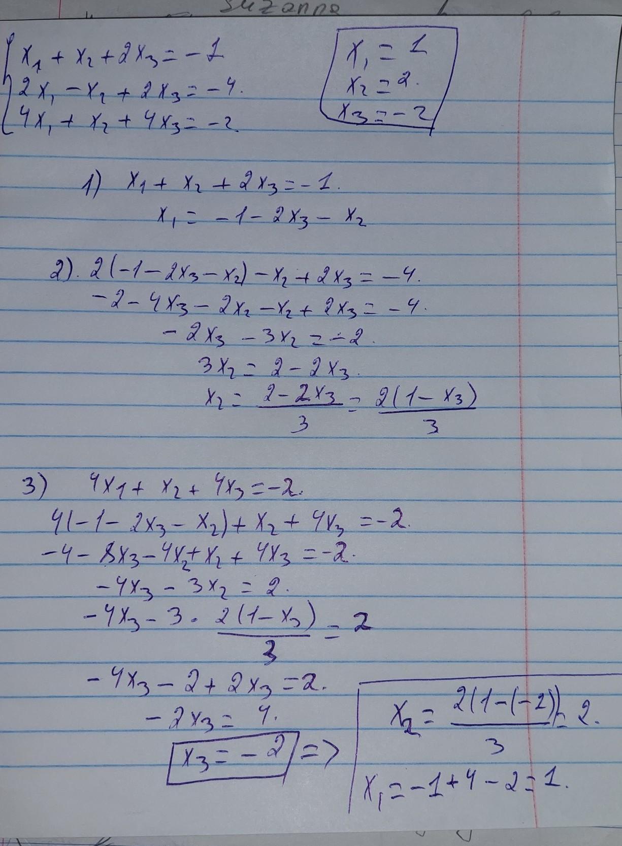
Помогите решить пожалуйста

Приложения:

Ответы

Ответ дал: natalidavtyan04bkru6
0

Ответ:

x1 = 1 , x2 =2, x3= -2

Пошаговое объяснение:

Вроде бы решила, но не знаю правильно или нет. Пиши пж ответ.

Приложения:
Вас заинтересует