• Предмет: Алгебра
  • Автор: alazymovaaa
  • Вопрос задан 8 лет назад

помогите пожалуйста ))
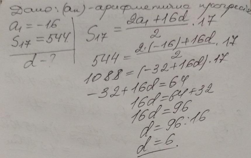
знайдіть різницю арифметичної прогресії перший член якої дорівнює -16 , а сума перших сімнадцяти членів дорівнює 544

Ответы

Ответ дал: WaizuKun
2

Ответ:

6

Объяснение:

a_1=-16\;;\;S_{17}=544\;;\;d-?

---------------------------------------

S_n=\dfrac{n(a_1+a_n)}{2}\;\;\Rightarrow\;\;544=\dfrac{17(-16+a_{17})}{2}\;\;\Rightarrow\;\;17(-16+a_{17})=2\cdot544\;\;\Rightarrow\\\\\\\Rightarrow\;\;-272+17a_{17}=1088\;\;\Rightarrow\;\;17a_{17}=1088+272\;\;\Rightarrow\;\;17a_{17}=1360\;\;\Rightarrow\\\\\\\Rightarrow\;\;a_{17}=\dfrac{1360}{17}=80\;\;;\;\;a_n=a_1+(n-1)d\;\;\Rightarrow\;\;80=-16+16d\;\;\Rightarrow\\\\\\\Rightarrow\;\;16d=80+16\;\;\Rightarrow\;\;16d=96\;\;\Rightarrow\;\;d=\dfrac{96}{16}=6


alazymovaaa: спасибо большое ❤️
Ответ дал: vladykar9
1

Відповідь:

Пояснення:

Приложения:

alazymovaaa: огромное спасибо
Вас заинтересует