• Предмет: Математика
  • Автор: nazarborba020
  • Вопрос задан 8 лет назад

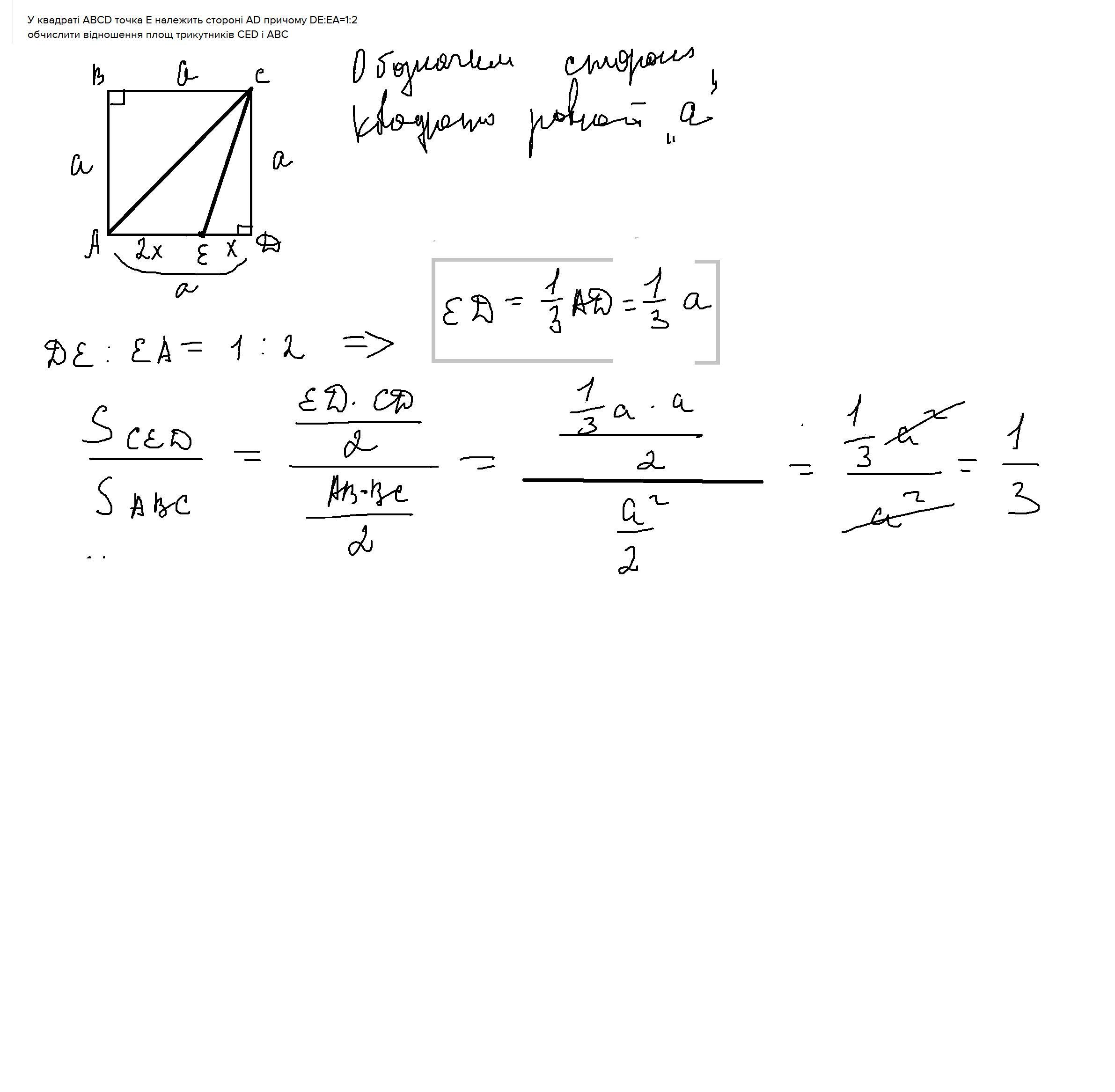
У квадраті ABCD точка E належить стороні AD причому DE:EA=1:2 обчислити відношення площ трикутників CED і ABC

Ответы

Ответ дал: vikll
1

Ответ:

Пошаговое объяснение:У квадраті ABCD

Приложения:
Вас заинтересует